O que é

O Porta de Entrada aplica-se às situações de necessidade de alojamento urgente de pessoas que se vejam privadas, de forma temporária ou definitiva, da habitação ou do local onde mantinham a sua residência permanente ou que estejam em risco iminente de ficar nessa situação, em resultado de acontecimento imprevisível ou excecional.

angle-left Voltar

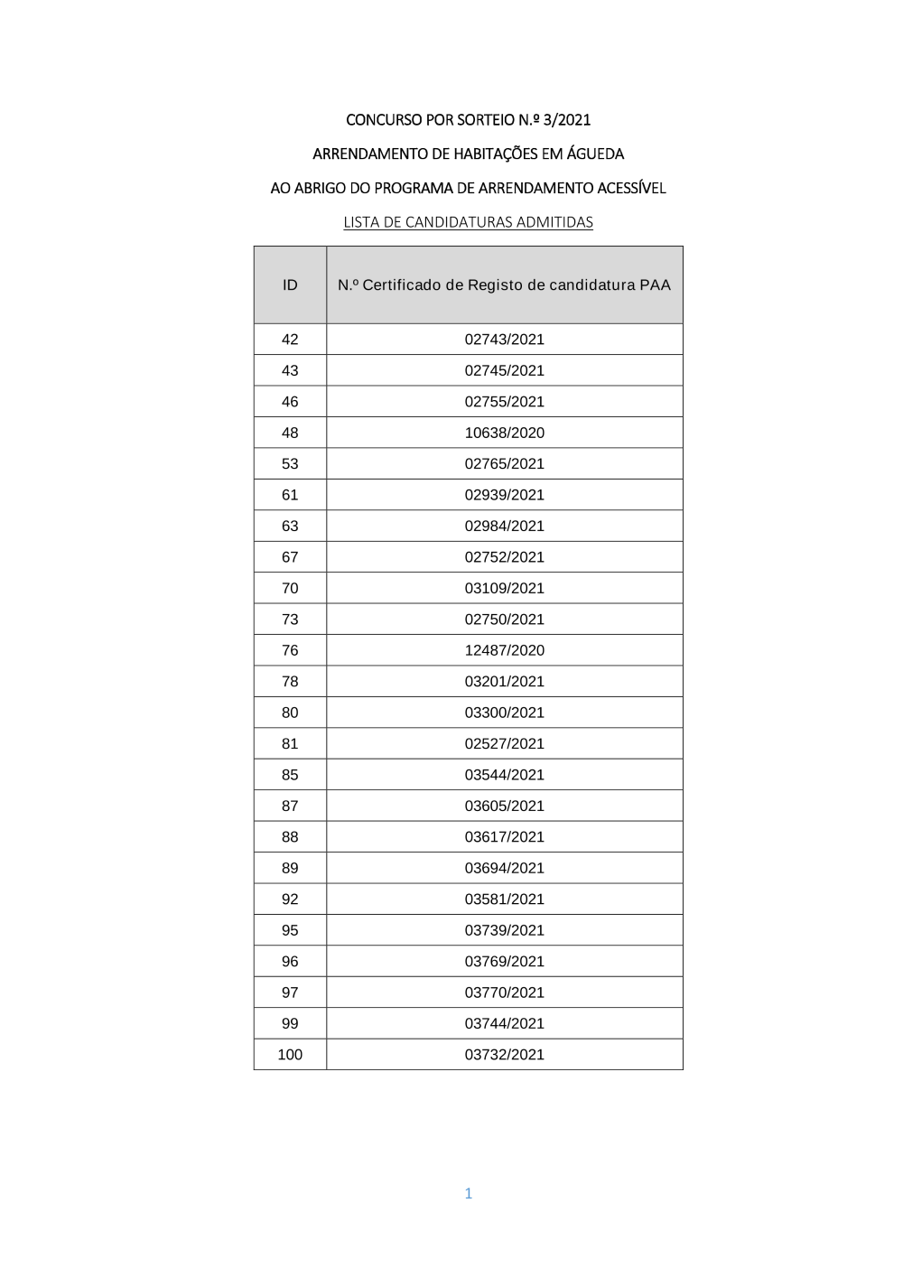
Listas - Águeda (2).pdf

Listas - Águeda (2).pdf

Miniatura Upload feito por Paula Mesquita, 25-05-2021 11:20
Média (0 Votos)
Pré-visualizar
1 de 2